1、背景编辑
企业需要将数据的价值最大化,其中重要的一步就是各个应用间的数据共享,API为此提供了技术基础,可以使不同的应用程序之间实现使用彼此的某一个或某些功能,调用彼此的程序数据。
FineTube数据服务中的API功能,可以将数据结果输出为JSON格式内容,并作为API接口服务开放,提供给其他系统使用。
2、预期效果编辑
希望将 已有的数据库的表数据,通过API的方式进行发布,已提供给其他服务使用。
已有数据: 期望实现效果:

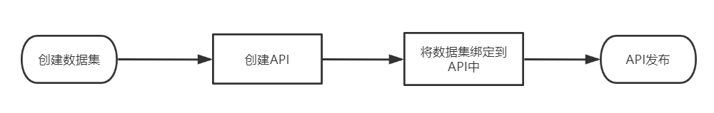
3、实现思路编辑
1、创建需要对外提供数据的数据集
2、创建对外提供的API服务
3、对应的数据集和API服务做绑定
4、API发布以及下线

4、实现步骤编辑
4.1创建数据集
目录:数据服务>>数据准备>>新建业务包
若已经存在业务包,可进入业务包后,直接进行创建数据集。
目前数据集提供两种模式进行添加:数据库表、SQL数据集。

配置页面分为基础属性配置和字段配置,在完成基本属性配置偶,需要在字段配置页面,点击获取字段。
其中,若有部分字段不对外提供,支持字段删除操作,此时的字段显示的字段,则是将要发布的API中显示的字段。


4.2 创建API以及数据绑定
目录:数据服务>>API管理>>创建服务>>创建API>>发布数据
① 请求配置
点击Path后的”获取完整URL“,则可通过其url进行数据的获取。

② 响应配置
此页面支持对请求成功时、失败时,返回对应的值,同时也支持自定义添加。

③查询配置
若在4.1 已经完成数据集的创建,则在此处可直接进行选择对应业务包下的数据集,若没有需要发布的数据集,则进行新建。

4.3 API的发布和下线
在完成了API配置操作后,则可对对应的API任务进行发布。

4.4 数据验证
打开常用工具postman,新建一个Requet页面,Method选择POST, 输入4.2 中的url链接,由于Body不能为空,在Body配置处任意输入,再进行点击Send,预览如下:


5、其他编辑
5.1 API监控台
FineTube还提供了API监控台,可以查看API被调用的性能情况,以及对应调用的IP地址。

5.2 安全设置
针对API服务,出于安全策略考虑,还可进行IP的黑白名单设置。
路径:API管理>>对应服务>>编辑>>安全设置

5.3 身份认证
若在进行创建API的时候,选择了身份认证,对应的access_key在API管理的对应任务处进行导出即可。



